Упр.423 ГДЗ Колягин Ткачёва 8 класс (Алгебра)
Решение #1

Рассмотрим вариант решения задания из учебника Колягин, Ткачёва, Фёдорова 8 класс, Просвещение:
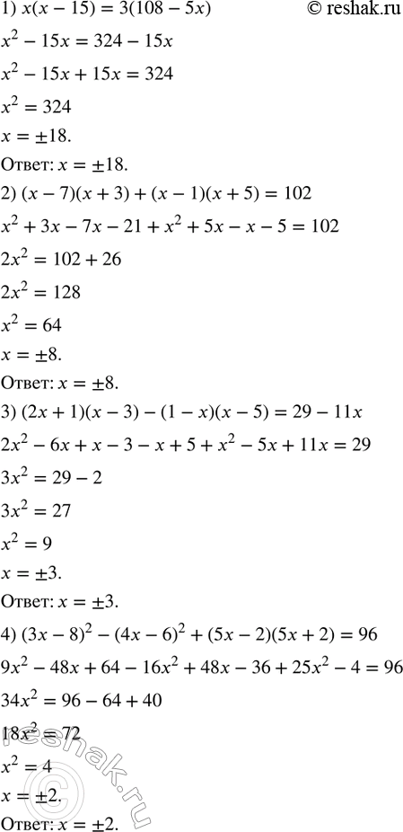
423. Решить уравнение:
1) x(x-15)=3(108-5x);
2) (x-7)(x+3)+(x-1)(x+5)=102;
3) (2x+1)(x-3)-(1-x)(x-5)=29-11x;
4) (3x-8)^2-(4x-6)^2+(5x-2)(5x+2)=96.
*размещая тексты в комментариях ниже, вы автоматически соглашаетесь с пользовательским соглашением